精华热点 

洛宁县永宁街道
与张氏有关的地名(二)
张泽武整理
洛宁老城原属洛宁县城关镇,今属洛宁县永宁街道。2022年11月撤城关镇,设立永宁街道,下辖四个社区、1个行政村,即城东社区、东关社区、西街社区、西关社区和凤翔镇。
在东关社区,与张氏有关的名人故居有张鼎延故居;与张氏有关的石牌坊有明恩貤累代坊、旌表贞节坊、张辂妻田氏节孝石坊;与张氏有关的胡同有张家胡同;与张氏有关的过道两条;与张氏有关的法庭有张家法庭;与张氏有关的地名有张兵部饮马坑;与张氏有关的名人墓葬有张鼎延墓、张琯墓、张璿墓。
在西街社区,与张氏有关的名人祠堂有张中丞祠。
在西关社区,与张氏有关的地名有张三沟,与张氏有关的家庙有张氏家庙。
3.【明恩貤累代坊】:原址在永宁县城东大街金龙巷北口西侧30米处,即今洛宁县老城兴翼路西路沿处与兴宁东路交叉口。张家石牌坊原名称为“恩貤累代坊”,面向东西大街。张家石牌坊东为永宁县衙、金龙口,西为文庙、永宁县儒学、文明街(今文昌路)。该牌坊是为张鼎延之曾祖父张稔、祖父张士益、父亲张论封赠都察院右副都御史、四川巡抚,张鼎延之曾祖母段氏、祖母朱氏、母亲段氏封赠三品淑人而建。

清乾隆五十五年《永宁县志》卷八
明“恩貤累代坊”,清代县志称在城内西大街,民国县志称在东大街。“恩貤累代坊”位于洛宁老城金龙巷北口西约30米处,为明四川巡抚张论立。该坊大致修建于明朝崇祯三年(1630年),其规模巨大,建筑宏伟,雕刻工艺精湛,人称中原罕见之物。1958年洛宁县政府以“恩貤累代坊”妨碍交通为由将其拆毁。这座石牌坊被拆毁后,大梁、立柱等石材构件均被运到新城修建磨沟河石桥(今兴宁中路原洛宁县税务局、工商局大门口东大桥)。据原洛宁县教育局局长公常钦讲,当时石牌坊被拆时,洛宁许多有志之士出面不让拆,说“这座石牌坊闻名中原,是洛宁非常重要的历史文化古迹,是洛宁的地表景观,拆了是洛宁最大的损失!”时任洛宁县委书记的张丙和,对此嗤之以鼻,说“这是封建社会的残余,有什么可惜的!”最终,还是被拆毁了。
清顺治十四年《张氏家乘》记载:“恩貤累代坊,为(张鼎延)曾祖父考妣赠二品建。”
按:恩貤累代坊,是为张鼎延之曾祖父张稔、祖父张士益、父亲张论赠二品官职、曾祖母吕氏、祖母朱氏、母亲段氏赠二品诰命夫人而建。
清乾隆五十五年《永宁县志》卷八 坊表 记载:“恩貤累代坊,为明四川巡抚张论立,在城西大街。”

民国六年《洛宁县志》卷二 “建置 坊表”
据民国六年《洛宁县志》卷二 “建置 坊表” 记载:“恩貤累代坊,为明四川巡抚张论立,在城东大街。”
按:清代时永宁县县衙、金龙巷以东为东大街,称“时和街”。 永宁县县衙以西为西大街,称“安民街”。
恩貤累代坊位于永宁县县衙、金龙巷以西,故清乾隆五十五年《永宁县志》记载为“恩貤累代坊,在城西大街。”
民国时期,洛宁县城东大街、西大街以文明街北口为界,文明街(文庙)以东为东大街,称为“时和街”。 文明街(文庙)以西为西大街,称为“安民街”。
4.【旌表贞节坊】:
在老城文明街(今文昌路)北口文庙对面有一石牌坊,相传为南宅张家(张鼎延家族)石牌坊。清代《永宁县志》县城图中标有这个石牌坊。
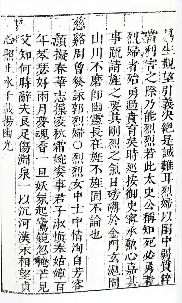
据《张氏家乘》记载:旌表贞节坊:为张论侧室石氏、张璿妻郭氏建。
关于张论侧室石氏、张璿妻郭氏,清顺治十四年《张氏家乘》、清顺治十年《永宁县志》及清康熙三十一年、乾隆五十五年、民国六年县志均有传。


清顺治《张氏家乘》人物志



清顺治十年《永宁县志》人物志
5.【张辂妻田氏节孝石坊】
张辂妻田氏节孝石坊,在城内东北隅真武巷(今称担水堂胡同)中段。1964年张辂妻田氏节孝石坊被拆毁。担水堂胡同在今东城小学西侧。

清乾隆五十五年《永宁县志》卷六
儒童张辂妻田氏,年十七归张,数月而寡,矢志烈决。事老婆母先意承旨,礼防自持,言笑不苟,守节三十五年。

民国六年《洛宁县志》卷五
据民国六年《洛宁县志》卷二 “建置 坊表” 记载:“张辂妻田氏节孝石坊,在城内东北隅,嘉庆二年建。”

民国六年《洛宁县志》卷五
张辂妻田氏年二十余夫故,孝敬婆母,坚守节操。嘉庆二年(1797年)旌表建坊。
6.【张家胡同】:在永宁县城后街时东营北侧。旧址在今洛宁老城东南街北侧张鼎延故居正宅大门东侧。张氏家族自金门寨迁此建宅,张氏家族后裔世居于此胡同,故名“张家胡同”。

张家胡同
7.【张家过道】:在永宁县城时东营北侧。旧址在今洛宁老城东南街北侧张鼎延故居正宅大门东西两侧。
张家过道有二,一在张鼎延故居东院西侧,一在张鼎延故居西院东侧。

张家过道(东院)

张家过道(西院)

张家西院大门



西院二门
8.【张家法庭】:在张鼎延正宅过厅东侧。张家法庭原为三进四合院。前两进院落已毁。第三进法庭院原为张氏后裔张全禄的住宅,后来卖给了梅同声。法庭东侧为张家书院和花园。




张家法庭

按:张氏家族祖籍陕西同州。元末避兵,张氏始祖张仲文从陕西同州雁羗村迁居河南府永宁县北里村(今德里村)。明崇祯初年迁居金门寨。明四川巡抚张论、张鼎延父子建宅于永宁县城东南街。张氏家族迁居于此,繁衍成族。本支张氏家族分为三支,中院、东院、西院,张氏后裔现有300余人。
《东关社区志》记载:
“张姓:明末,陈吴德里人张论(祖籍陕西同州)任四川巡抚。清初,其子张鼎延任兵部侍郎。他们在城东南隅建造府邸,其后裔定居于此。繁衍至今,分为西院、中院、东院三小支。西院以张发、张磨、张天祥为一小支;中院以张留官、张凤池、张亮、张石亮为一小支;东院以张文选、张民选、张公选、张连选为一小支。”
9.【张兵部饮马坑】:
张兵部饮马坑在洛宁县老城东南街南部。张兵部住宅在东南街,南城墙内有坑地势较低,每逢下雨,雨水汇聚于此,常年池水充足,城内居民常常在这饮马,相传张兵部经常饮马于此,故名“张兵部饮马坑”。

作者简介:张泽武,洛宁县陈吴乡新寨村人,2003年,发起并成功组织成立了洛宁县姓氏文化研究会,担任常务副会长兼秘书长一职,2006年参与组织筹备成立洛阳市姓氏文化研究会,任副秘书长。2017年被推举为洛宁县姓氏文化研究会会长。2024年8月再次当选为洛宁县姓氏文化研究会会长。





