12月16日,赤水市市民查女士将一面绣有“长得又帅 办案还快”的锦旗和一封感谢信,送到赤水市公安局文华派出所民辅警手中,以质朴话语和真挚行动,感谢民警历时7小时,帮其寻回遗失的手机。

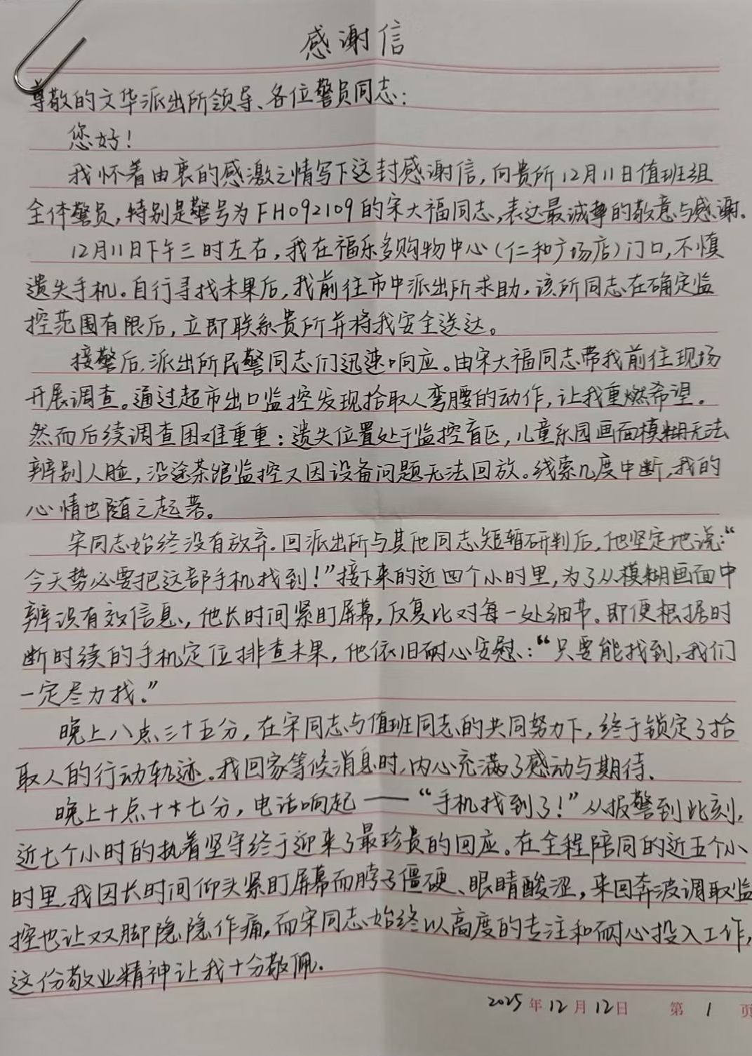
时间回溯至12月11日下午3时许,赤水市市中街道的查女士在福乐多购物中心(仁和广场店)门口不慎遗失手机,手机里的资料对她很重要,自行寻找无果后,她来到文华派出所报警求助。接警后,文华派出所迅速响应,组织民辅警赶赴现场开展走访调查。然而,周边监控画面模糊不清,后续调查接连遭遇难题。面对复杂情况,民警并未气馁,继续展开细致排查。“群众事无小事,务必要把这部手机找到!“这是办案民警的坚定决心。经过几个小时持续不断的查找,当晚10时许,手机终于被寻回。从接警到物归原主,近7个小时的不懈努力,见证了赤水公安民辅警“群众利益无小事”的执着与担当。

一面特别的锦旗、一封真诚的感谢信,对赤水公安而言,不仅是荣誉,更是一种鞭策。它承载着人民群众对赤水公安工作的信任与认可,也将激励着我们始终以高度的责任感,用心用情解决好群众的每一件身边事。
举报